Q1. Subtract the number
from the number
.
Solution
To subtract the numbers, first we express the numbers with same power of 10.
Consider
Therefore,

Therefore,

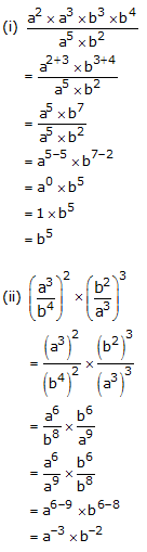
Q2. Simplify:


Solution

Q3. Write the following numbers in standard form:
(i)
(ii) 0.0000000014
Solution
(i)
(ii)

(ii)

Q4. If
, find the value of x.
Solution
We have,
Since, bases are equal, powers are also equal.

Since, bases are equal, powers are also equal.

Q5. Simplify:


Solution

Comments
Post a Comment