Q1. What will be the value of a, if y + 2 is a factor of
.
.Solution
Since, y + 2 is a factor of
, the remainder will be zero.
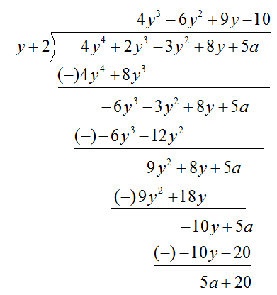
Using Long Division, we have
Now, 5a + 20 = 0

, the remainder will be zero.
Using Long Division, we have
Now, 5a + 20 = 0

Q2. Find all the factors of 6xy.
Solution
All possible factors of 6 are: 1, 2, 3, 6
All possible factors of xy are: x, y, xy
Hence all factors of 6xy are:
1, 2, 3, 6, x, y, xy, 2x, 2y, 2xy, 3x, 3y, 3xy, 6x, 6y, 6xy.
Q3. Verify division algorithm, i.e., Dividend = Divisor x Quotient + Remainder for following:
Dividend:
Divisor: 
Divisor: 
Solution
Using Long Division, we have:
Verification:
Dividend:
Divisor:
Quotient:
Remainder: 0
Now, Divisor x Quotient + Remainder

Verification:
Dividend:
Divisor:
Quotient:
Remainder: 0
Now, Divisor x Quotient + Remainder

Q4. Factorise: 
Solution

Q5. Divide 27xy2(17x2 - 68) by 51(x + 2).
Solution
Consider
Thus,

Thus,

Q6. Divide
by
.
Solution

Q7. Factorise: x2 + 8xy +16y2 - 36
Solution
Comments
Post a Comment